Условие задачи (1980, № 11) Задача М655 // Квант. — 1980. — № 11. — Стр. 19—20; 1981. — № 7. — Стр. 28—30.
Текстовое представление условия задачи находится в процессе подготовки. С графическим представлением можно ознакомиться в опубликованном номере
Изображения страниц
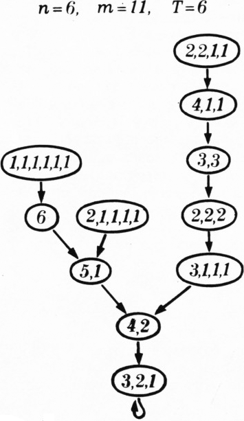
Решение задачи (1981, № 7) Задача М655 // Квант. — 1980. — № 11. — Стр. 19—20; 1981. — № 7. — Стр. 28—30.
Текстовое представление решения задачи находится в процессе подготовки. С графическим представлением можно ознакомиться в опубликованном номере




