Изображения страниц
В номере
-
Основные статьи
-
Задачник «Кванта»
-
Квант для младших школьников
-
Калейдоскоп
-
Математический кружок
-
Школа в «Кванте»
-
Лаборатория «Кванта»
-
Физический факультатив
-
Практикум абитуриента
-
Из истории науки
-
Информация
-
Нам пишут
-
Олимпиады
-
Игры и головоломки
-
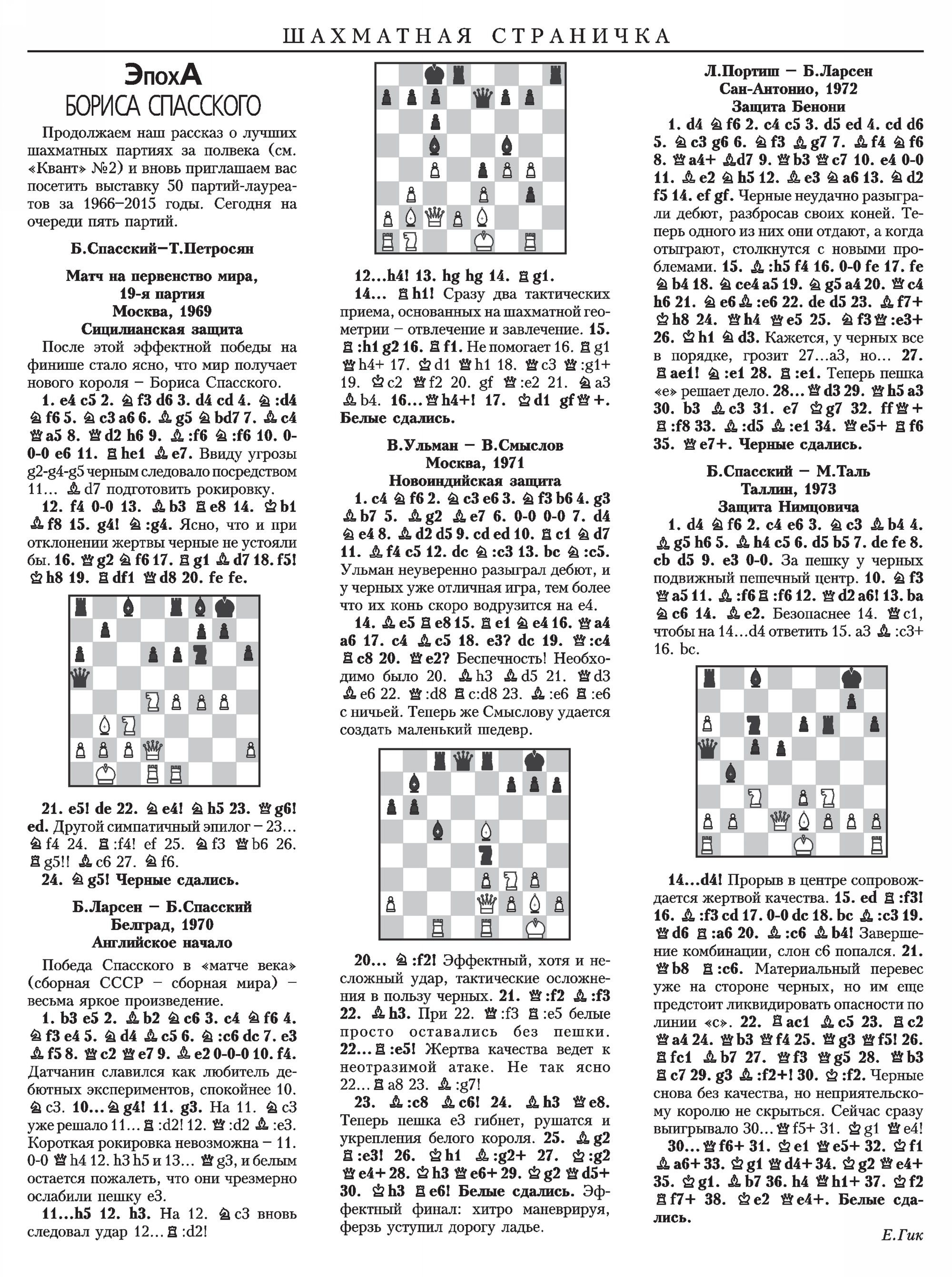
Шахматы
-
Разное



































































