Изображения страниц
В номере
-
Основные статьи
-
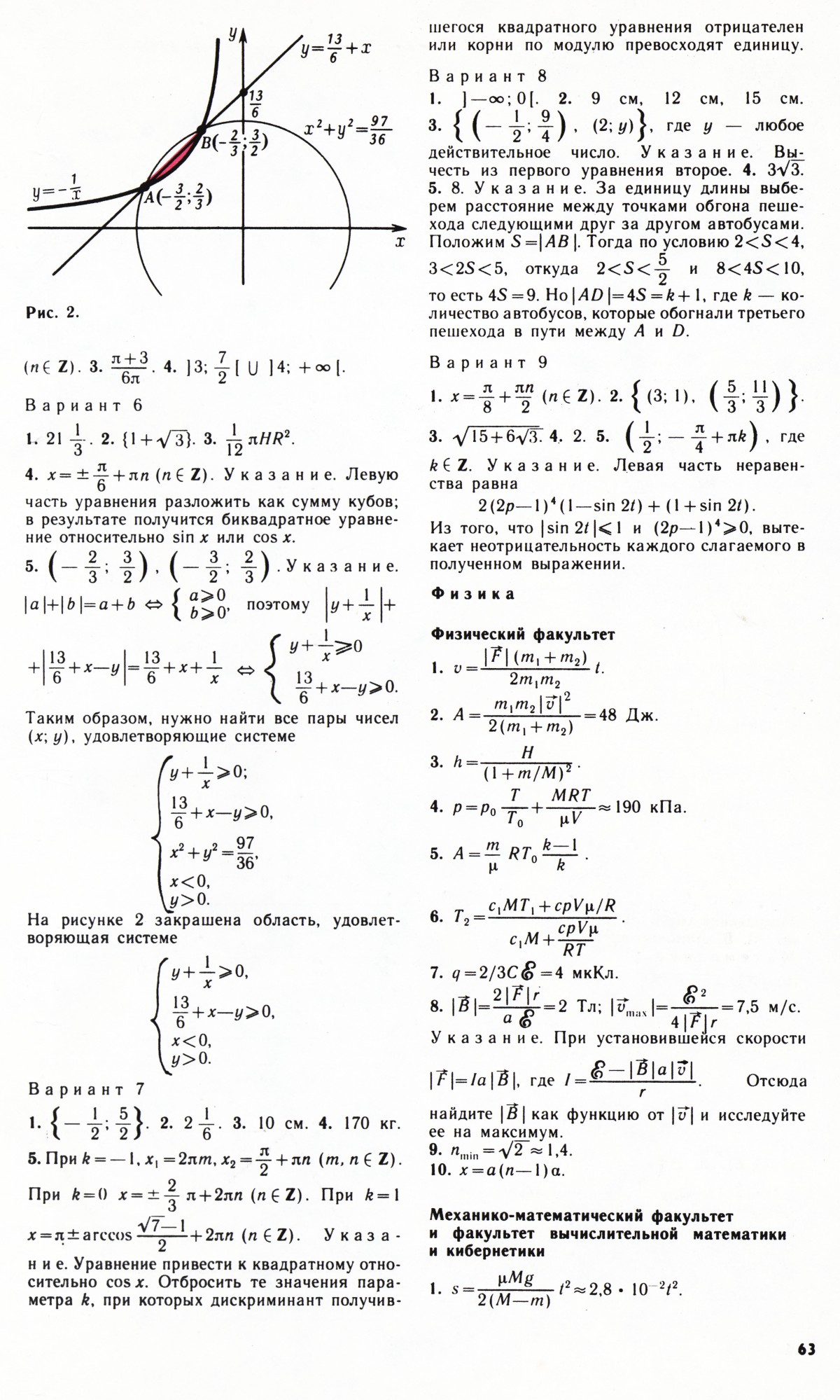
Задачник «Кванта»
-
Квант для младших школьников
-
Математический кружок
-
Лаборатория «Кванта»
-
Практикум абитуриента
-
По страницам школьных учебников
-
Информация
-
Экзаменационные материалы
-
Шахматы
-
Смесь
-
Разное



































































