«Квант» — научно-популярный физико-математический журнал (издаётся с 1970 года)
Старый сайт журнала: kvant.ras.ru

Квант. — 1977. — № 2

В номере


Метаданные

Год
1977
Номер
2
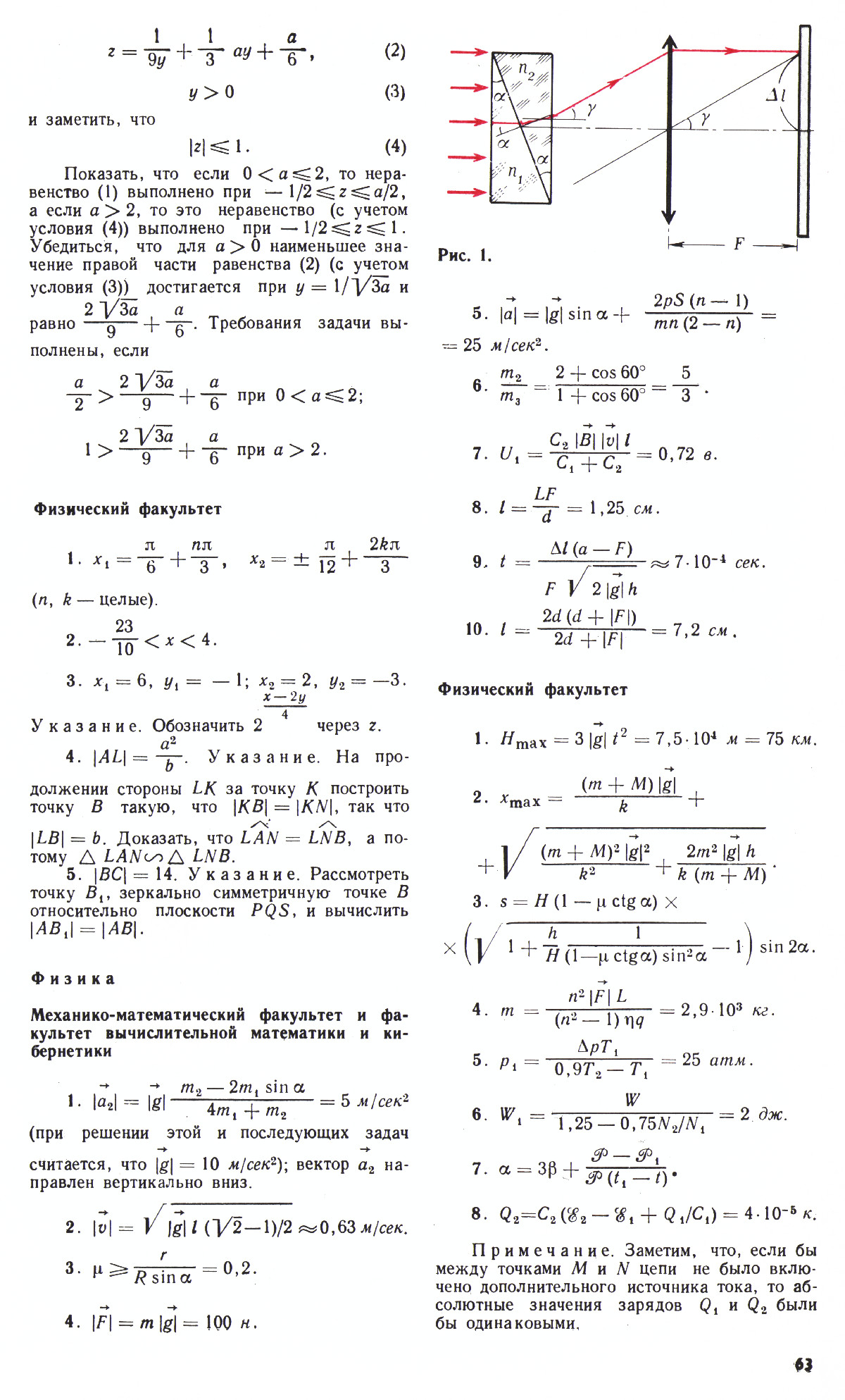
Описание
Квант: научно-популярный физико-математический журнал Академии наук СССР и Академии педагогических наук СССР. — 1977. — № 2. — 64 с.
Ссылка
https://www.kvant.digital/issues/1977/2/